中科大在湍動磁場重聯電子加速領域取得重要進展
近日,中國科學技術大學陸全明和王榮生研究團隊,在湍動磁場重聯電子加速研究領域取得重要進展。相關成果在線發表於《自然·通訊》(Nature Communications)。
論文第一作者為中科大博士生李新民,共同通訊作者為中科大地球和空間科學學院教授王榮生和陸全明。

圖片來自《自然·通訊》(Nature Communications)
基於地球磁層多尺度衛星(MMS)原位探測數據,前述團隊首次發現磁場重聯擴散區可演化為湍流態。在處於湍動態的磁場重聯擴散區,電子可通過多種加速機制(二階費米、電子感應加速器加速、靜電勢等)被有效地加速至相對論能量(約為300KeV,KeV為千電子伏特),並在分布函數上呈現冪律譜分布。冪律分布是指某個具有分布性質的變量,且其分布密度函數是冪函數的分布。
磁場重聯是一種基本的等離子體物理過程。該過程中,磁自由能被快速地釋放而轉化為等離子體動能和熱能,並產生高能電子。由磁場重聯產生的高能電子被認為是伽馬射線爆,太陽耀斑,以及磁暴等現象的主要驅動原因。
等離子體湍流是另一種基礎的等離子體現象,廣泛存在於空間等離子環境中。在等離子體湍流中,能量可以從大尺度輸運到小尺度,最終在動力學尺度被耗散,並加熱或加速等離子體。
前述兩個基礎的等離子體物理過程相互藕合,湍流可以由重聯產生。反過來,重聯的演化也會受到湍流影響。

圖1:重聯事例概覽,(a)-(e)分別為磁場、離子流速、電子溫度、電流密度和高能電子通量,圖片來自中科大
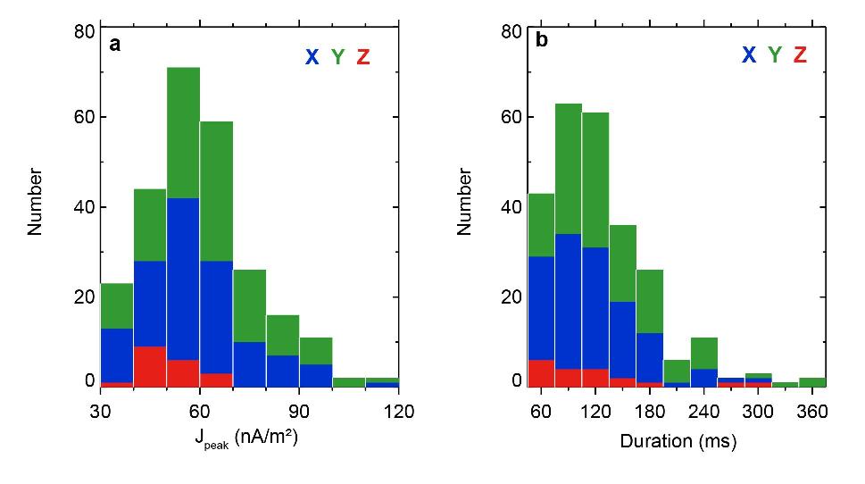
利用高時空分辨率、高精度的衛星數據,研究團隊在地球磁尾電流片中觀測到一個正在發生重聯的電流片,而且衛星穿越了重聯的擴散區(如圖1中陰影部分)。與典型重聯模型不同,該擴散區不是一個完整的層流電流片,而是破碎為大量電流絲(如圖1d)。這些不同強度(如圖2a),不同尺度的電流絲 (如圖2b)在擴散區內沿著各個方向延伸(主要為x和y方向),並相互交織,形成了一個三維的網狀電流體系,即該擴散區處於湍流狀態。

圖2:擴散區內絲狀電流絲的統計特征,(a)為絲狀電流絲強度,(b)為絲狀電流持續時間(尺度),顏色表示地心-太陽黃道坐標系(GSE)下電流絲的主導方向,圖片來自中科大
在前述湍流態的擴散區內,高達300KeV的高能電子通量顯著增加(如圖1e),且高能電子在分布函數上呈現冪律譜分布(如圖3)。研究結果表明,重聯的擴散區可以演化為湍流狀態,電子在湍流態的擴散區內可被有效加速至幾百KeV。

圖3:電子分布函數,其中黑色為背景電子分布,圖片來自中科大



